芯片内部为什么能这么小?电路城市的打造和精进
芯片藏身于城市中随处可见的电子设备 ,智能手机、电脑、家电等都离不开它的控制。
图源pixabay
小小的芯片集成了庞大规模的电路 。
把芯片放大,可以看到其内部存在着密密麻麻的线路排布,就像密集交织的高速公路,仿佛在极小的尺寸上建造了一座井然有序的电路城市。
芯片结构图(肉眼和微观) | 图源pixabay
芯片内部有多小呢?如今我们在工业上 运用的芯片最小制程,也就是我们人类能创造出的微小尺寸 ,已经达到3nm ,芯片内部可以集成上百亿个晶体管。
芯片制造的“多层”思路
无数纳米级的电子元件在芯片上错落排布,是将每一个元件事先制好 ,再一个一个安放上去吗?
图源pixabay(上);Searchmedia - Wikimedia Commons(下)
不是!我们可以换个角度看待这个问题,在纵向仔细观察,可以发现芯片是由一层层带有不同图案的片状结构纵向垒叠而成 。 如果我们将每一层事先制好,再纵向累加,二维结构能叠加成三维器件,最后形成功能丰富的芯片。
纵向观察芯片内部结构 | 图源Searchmedia - Wikimedia Commons
现在我们的目标变成了如何制成有特定图案的片状结构。首先我们要有能够用来印上电路图的片状材料 ,也就是我们常听说的硅晶圆 ,这是一种纯度极高的硅,经过加工后被切割成光滑、极薄的圆片。
硅晶圆 | 图源pixabay(左);Searchmedia - Wikimedia Commons(右)
接着,我们就像木匠,需要找到称手的工具来雕刻图案,要制成内部结构复杂且极其微小的芯片,对加工工具的尺寸 要求极高。
聪明的我们找到了光这把刻刀,正是由于光具有丰富的波长 ,我们可以利用短波长 的光来实现极其精细的加工。
可见光的丰富波长(不可见光波长更丰富) | 图源Searchmedia - Wikimedia Commons
我们希望通过光学曝光将图纸上设计好的电路图案转移到硅晶圆上 ,但是光不能对硅材料产生影响,所以需要借助一个中间材料,也就是能直接和光相互作用的光刻胶 。
旋涂在硅晶片上的光刻胶(靠旋转离心力均匀覆盖)| 图源Searchmedia - Wikimedia Commons
要让光实现图案的信息的传递 ,可以利用将光完全挡住或完全通过的方式产生明暗图案。光通过带有电路图案的挡光板 (掩模版 ),可以复制 掩模版的图案信息,最后和硅晶圆表面上均匀覆盖的光刻胶相互作用后,硅晶圆上出现了我们需要的图案信息。
光刻成像曝光过程 | 图源Searchmedia - Wikimedia Commons
光刻胶是光刻成像的主要承载介质 ,分为正胶和负胶,曝光区域更容易在显影液中溶解 的为正性光刻胶,曝光区域更不易在显影液中溶解的是负性光刻胶。
曝光过程的两种结果(正胶和负胶)|图源Searchmedia - Wikimedia Commons
假设使用的是正性光刻胶 ,当曝光过程结束后,显影液能够溶解暴露在光下的光刻胶。接着再用化学物质溶解裸露的硅晶圆 ,遗留在硅晶圆表面的光刻胶能起到保护硅晶圆的作用,这就是刻蚀 过程。
现在我们完成了目标,获得了带有特定电路图案的硅晶圆。在这整个过程中,大致思路其实比较流畅,但芯片制造这项代表人类巅峰智慧的精密工程包含了无数严苛的要求。
芯片内部尺寸受到什么限制?
芯片的主要元件是晶体管,一块大型芯片能有上百亿个晶体管,当我们能制造越小的晶体管,芯片能容纳的元件数 越多,晶体管的功耗 也会越低。
在芯片制造中,我们希望利用光在小尺度范围中创造电路图案 ,那么为什么光能实现这个效果呢?光的雕刻极限又在哪呢?
衍射
影响光的雕刻水准的主要原因是光的衍射效应 。光是一种电磁波,在光刻传播过程中衍射不可避免,曝光范围就有了最小特征尺度。光的分辨率,也就是光刻胶依据光辐照来重建图形的能力有了限制 。
曝光过程的衍射 | 图源Searchmedia - Wikimedia Commons
如下图所示,当一束平行光 经过一个狭缝,光会以无数子波 的形式在传播过程中相互干涉 ,形成明暗相间的衍射图样 。
单缝衍射 | 图源Searchmedia - Wikimedia Commons
也就是说在微小尺度上考虑光的传播,有光区域不再和无光区域泾渭分明,而是出现了模糊地带 ,一个理想物点发出的光经过障碍物边缘后,会偏离几何光学直线传播的特点,不再形成一个理想像点 。
这正是因为狭缝宽度和光波长尺度相当时 ,光的波动效果迎来了舞台,光可以利用波动效果 绕开障碍物,在空间中弥散 开来,形成了光发散的衍射效果,导致曝光区域范围不再精准,光的分辨率有了极限 。
光的波动效果图(对比直线传播和波动效果) | 图源Searchmedia - Wikimedia Commons
分辨率
在光学成像领域,分辨率是衡量分开相邻两个物点的像的能力 。理想情况下,我们希望每个物点都能产生锐利的像点 ,但由于衍射,实际结果为有一定大小的光斑 。如果两个光斑(衍射图样)重叠程度过大,则像点难以分辨 。
瑞利提出了一个有效的判据,分辨率计算公式为:
该分辨率表达式描述了两个光斑时恰好能分辨的极限位置 ——当一个光斑的极大位置与另一个光斑的第一个零值点重合。其中,λ为照明光波长。
光斑不可分辨和恰好可分辨的极限情况 | 图源Searchmedia - Wikimedia Commons
NA为数值孔径,它描述了透镜对光的汇聚能力 ,具体表现为平行光入射后的偏折程度(汇聚到焦点),计算表达式为:
数值孔径(n为折射率)| 图源Searchmedia - Wikimedia Commons
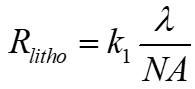
瑞利判据常用来评价成像质量,而光刻系统是在光刻胶中成像的。光刻胶是一种高对比度的成像介质 ,在某些曝光条件下,虽然光学分辨率已经达到了瑞利判据的分辨极限以下,但光刻胶仍然可以呈现较好的成像结果,实现加工的目标 。
光刻成像的分辨率为:
R 为光刻系统可分辨的图形周期;k1为工艺因子 。
光刻
芯片制造中光刻是最复杂、昂贵且关键的工艺,通常使用投影式光刻系统将掩模版的电路结构图投射到硅晶片的表面 。
光学透镜可以聚集衍射光提高成像质量 ,在光刻技术中为得到尽可能小的图案,在掩模板和光刻胶之间采用了一种具有缩小倍率的投影成像物镜 。
投影式光刻系统 | 图源网络
如何打磨光这把刻刀?
我们现在知道了:光的最小加工尺度 (分辨率)决定了芯片能小到什么程度。如何来让芯片变得更小呢?我们需要让分辨能力更强,让芯片上的电路城市功能更精进 。
根据光刻分辨率公式中的三项,我们有了三种方案来打磨光这把刻刀。
增大光刻系统的数值孔径
光刻成像系统中的投影物镜的数值孔径越大,分辨能力就越优越。具体操作是设计浸润式光刻机 ,即在晶圆和投影物镜最后一面镜头之间填充高折射率的介质 。
缩短波长
光刻过程的光波长已经经历了G线(432nm)、I线(365nm)、KrF(248nm)以及ArF(193nm)的深紫外波段的发展历程,目前13.5nm波长的极紫外光刻机(EUV) 已经投入使用。
减小工艺因子
通过优化光刻工艺参数 也能提高光刻分辨率,如改善光照条件、光刻胶工艺和掩模版设计等,这些方法都能减小工艺因子k,被称为分辨率增强技术 (RET)。
电磁波 | 图源网络
光是电磁波 ,因此包含了振幅、相位、偏振态和传播方向 等信息。光刻分辨率增强技术就是通过调控光的以上四种信息,让光刻胶上获得更细小的图形结构。例如离轴照明技术 可以改变振幅和相位,光学邻近效应修正技术 可以改变光波振幅,光源—掩模联合优化 可以改变光波的传播方向、振幅和相位。
各个工艺节点和光刻技术的关系表 | 来源:萨科微半导体官网,ASML,中泰证券研究所
纵览光刻机的发展历程,我们的确在沿着不断缩小波长的途径上奔跑。观察表中数据,当光源波长相同时,我们依然在不断缩小制程 ,这是数值孔径、工艺因子以及其他复杂技术的功劳。
参考文献
[1] 韦亚一.计算光刻与版图优化[M].1.电子工业出版社,2021.
[2] 斯蒂芬 A·坎贝尔.微纳尺度制造工程[M].3.电子工业出版社,2010.
编辑:小线
开关电源芯片内部结构
作为一名电源研发工程师,自然经常与各种芯片打交道,可能有的工程师对芯片的内部并不是很了解,不少同学在应用新的芯片时直接翻到 Datasheet 的应用页面,按照推荐设计搭建外围完事。如此一来即使应用没有问题,却也忽略了更多的技术细节,对于自身的技术成长并没有积累到更好的经验。今天以一颗 DC/DC 降压电源芯片 LM2675 为例,尽量详细讲解下一颗芯片的内部设计原理和结构,IC 行业的同学随便看看就好,欢迎指教!LM2675-5.0 的典型应用电路打开 LM2675 的 DataSheet,首先看看框图
这个图包含了电源芯片的内部全部单元模块,BUCK 结构我们已经很理解了,这个芯片的主要功能是实现对 MOS 管的驱动,并通过 FB 脚检测输出状态来形成环路控制 PWM 驱动功率 MOS 管,实现稳压或者恒流输出。这是一个非同步模式电源,即续流器件为外部二极管,而不是内部 MOS 管。下面咱们一起来分析各个功能是怎么实现的!基准电压类似于板级电路设计的基准电源,芯片内部基准电压为芯片其他电路提供稳定的参考电压。这个基准电压要求高精度、稳定性好、温漂小。芯片内部的参考电压又被称为带隙基准电压,因为这个电压值和硅的带隙电压相近,因此被称为带隙基准。这个值为 1.2V 左右,如下图的一种结构:
这里要回到课本讲公式,PN 结的电流和电压公式:
可以看出是指数关系,Is 是反向饱和漏电流(即 PN 结因为少子漂移造成的漏电流)。这个电流和 PN 结的面积成正比!即 Is->S。如此就可以推导出 Vbe=VT*ln(Ic/Is) !回到上图,由运放分析 VX=VY,那么就是 I1*R1+Vbe1=Vbe2,这样可得:I1=△Vbe/R1,而且因为 M3 和 M4 的栅极电压相同,因此电流 I1=I2,所以推导出公式:I1=I2=VT*ln(N/R1) N 是 Q1 Q2 的 PN 结面积之比!回到上图,由运放分析 VX=VY,那么就是 I1*R1+Vbe1=Vbe2,这样可得:I1=△Vbe/R1,而且因为 M3 和 M4 的栅极电压相同,因此电流 I1=I2,所以推导出公式:I1=I2=VT*ln(N/R1) N 是 Q1 Q2 的 PN 结面积之比!这样我们最后得到基准 Vref=I2*R2+Vbe2,关键点:I1 是正温度系数的,而 Vbe 是负温度系数的,再通过 N 值调节一下,可是实现很好的温度补偿!得到稳定的基准电压。N 一般业界按照 8 设计,要想实现零温度系 数,根据公式推算出 Vref=Vbe2+17.2*VT,所以大概在 1.2V 左右的,目前在低压领域可以实现小于 1V 的基准,而且除了温度系数还有电源纹波抑制 PSRR 等问题,限于水平没法深入了。最后的简图就是这样,运放的设计当然也非常讲究:
如图温度特性仿真:
振荡器 OSC 和 PWM我们知道开关电源的基本原理是利用 PWM 方波来驱动功率 MOS 管,那么自然需要产生振荡的模块,原理很简单,就是利用电容的充放电形成锯齿波和比较器来生成占空比可调的方波。
最后详细的电路设计图是这样的:这里有个技术难点是在电流模式下的斜坡补偿,针对的是占空比大于 50%时为了稳定斜坡,额外增加了补偿斜坡,我也是粗浅了解,有兴趣同学可详细学习。误差放大器误差放大器的作用是为了保证输出恒流或者恒压,对反馈电压进行采样处理。从而来调节驱动 MOS 管的 PWM,如简图:
驱动电路最后的驱动部分结构很简单,就是很大面积的 MOS 管,电流能力强。
其他模块电路这里的其他模块电路是为了保证芯片能够正常和可靠的工作,虽然不是原理的核心,却实实在在的在芯片的设计中占据重要位置。具体说来有几种功能:1、启动模块启动模块的作用自然是来启动芯片工作的,因为上电瞬间有可能所有晶体管电流为 0 并维持不变,这样没法工作。启动电路的作用就是相当于“点个火”,然后再关闭。如图:上电瞬间,S3 自然是打开的,然后 S2 打开可以打开 M4 Q1 等,就打开了 M1 M2,右边恒流源电路正常工作,S1 也打开了,就把 S2 给关闭了,完成启动。如果没有 S1 S2 S3,瞬间所有晶体管电流为 0。
2、过压保护模块 OVP很好理解,输入电压太高时,通过开关管来关断输出,避免损坏,通过比较器可以设置一个保护点。
3、过温保护模块 OTP温度保护是为了防止芯片异常高温损坏,原理比较简单,利用晶体管的温度特性然后通过比较器设置保护点来关断输出。
4、过流保护模块 OCP在譬如输出短路的情况下,通过检测输出电流来反馈控制输出管的状态,可以关断或者限流。如图的电流采样,利用晶体管的电流和面积成正比来采样,一般采样管 Q2 的面积会是输出管面积的千分之一,然后通过电压比较器来控制 MOS 管的驱动。
还有一些其他辅助模块设计。恒流源和电流镜在 IC 内部,如何来设置每一个晶体管的工作状态,就是通过偏置电流,恒流源电路可以说是所有电路的基石,带隙基准也是因此产生的,然后通过电流镜来为每一个功能模块提供电流,电流镜就是通过晶体管的面积来设置需要的电流大小,类似镜像。
总 结以上大概就是一颗 DC/DC 电源芯片 LM2675 的内部全部结构,也算是把以前的皮毛知识复习了一下。当然,这只是原理上的基本架构,具体设计时还要考虑非常多的参数特性,需要作大量的分析和仿真,而且必须要对半导体工艺参数有很深的理解,因为制造工艺决定了晶体管的很多参数和性能,一不小心出来的芯片就有缺陷甚至根本没法应用。整个芯片设计也是一个比较复杂的系统工程,要求很好的理论知识和实践经验。最后,学而时习之,不亦说乎!
作者:李斌
原文链接:https://bbs.elecfans.com/jishu_2003090_1_1.html
相关问答
芯片的电路是铜吗?
是的,芯片用到的有色金属有铜、钽、铝、钛、钴和钨等有色金属。普遍用到的是金属铜,可以让更多的电流通过芯片,除铜以外,还可以在芯片上沉积其它金属或化合...
集成电路的电子器件为什么要集成在硅片上-懂得
首先,一般的电路中的绝缘体,只是一个载体,它起到支撑和绝缘的作用。而对于集成电路来讲,最底下的一层叫衬底(一般为P型半导体),是参与集成电路工作...
现代大规模集成电路内部主要由什么组成?
现代大规模集成电路内部主要由晶体管、电阻、电容和互连线组成。现代大规模集成电路内部主要由晶体管、电阻、电容和互连线组成。晶体管是集成电路的基本元件,...
mt3612b电源芯片应用电路?
mt3612b电源芯片有多个应用电路。查询相关资料可以得知,mt3612b电源芯片是一种高效率、高稳定性的升压型开关电源芯片,其采用内置MOSFET功率开关管以及完备的...
存储器芯片由哪些电路组成?其作用是什么?
用2k*4的RAM芯片组成32KB的外扩存储器,共需芯片32片。芯片指内含集成电路的硅片,体积很小,常常是计算机或其他电子设备的一部分。存储器(Memory)是...用2k*...
计算机从电子管→晶体管→集成电路,发展过程是怎样的﹖?
第一代电子管计算机(1945-1956)这一阶段计算机的主要特征是采用电子管元件作基本器件,用光屏管或汞延时电路作存储器输入域输出主要采用穿孔卡片或纸带,体积大...
芯片架构有几种?
目前市场上主流的芯片架构有X86、ARM、RiSC-V和MIPS四种。提到芯片架构,就不得不说CPU,因为架构的发明离不开它。CPU也叫中央处理器,是一块超大规模的集成电...
芯片和集成电路有什么区别?
1.定义不同:芯片是指半导体晶圆上的微小电子元件集成在一起形成的完整电子器件,而集成电路是把多个晶体管、二极管、电阻器等微型元件以互相联系的方式集成在...
主芯片电路原理?
主芯片电路一般指的是计算机、智能手机、平板电脑等电子设备中的核心芯片,其原理和功能取决于不同设备的用途和型号。以下是一般电子设备中常见的主芯片电路原...
主要的四种类型内部存储器芯片是什么?
按照功能划分,可以分为四种类型,主要是内存芯片、微处理器、标准芯片和复杂的片上系统(SoCs)。按照集成电路的类型来划分,则可以分为三类,分别是数字芯片...
